При сгорании горючей смеси в двигателе внутреннего сгорания (ДВС) выделяется тепло. Критические температуры, при которых возможно повреждение термически нагруженных деталей:
| Контролируемые точки | Температура, °C |
| Донышко поршня | 350 |
| У канавки верхнего компрессионного кольца | 250 — 260 |
| На внутренней поршневой поверхности (под камерой сгорания) | 220 |
| Цилиндр против верхнего поршневого кольца в момент окончания хода сжатия | 200 |
Температура жидкости в системе охлаждения задается в пределах — 80 — 90°C. Она поддерживается конструктивно: термостат, радиатор, включающийся по сигналу температурного датчика вентилятор принудительного охлаждения. Моторное масло при этом нагрето несколько выше — в среднем до 90 — 100°C.
Моторное масло выполняет следующие задачи:

Существует 2 основных вида масляного взаимодействия: граничное и гидродинамическое.
Одной из характеристик моторного масла является его динамическая вязкость, измеряющаяся в сантистоксах. Этот параметр оказывает влияние на долговечность работы автомобильного двигателя и обычно указывается в мануале транспортного средства.
Кроме технических особенностей мотора на выбор вязкости смазочного материала оказывают и сезонные температуры эксплуатации. С повышением температуры вязкость масла уменьшается, с понижением — увеличивается. Поэтому для зимы она должна быть меньше, для лета — больше.
В наиболее используемых всесезонных маслах содержатся специальные компоненты — вязкостные присадки, призванные обеспечить требуемую вязкость при повышенной температуре. Кроме того, необходимо поддерживать в определенных пределах и рабочую температуру масла.

Причиной старения моторного масла являются окислительные процессы элементов углеводородной группы, происходящие в масляной основе. При этом выделяются продукты реакции в виде различных отложений: нагары, лаки, шламовые осадки. Наибольшее влияние на это оказывают температурные условия.
Нагар — это твердая субстанция в виде сажи, являющаяся продуктом окисления углеводородов. Сюда же входят несгоревшие элементы топлива (железо, свинец), а также различные механические примеси. Нагар вызывает всевозможные нарушения нормального рабочего процесса (детонацию, калильное зажигание и некоторые другие).
Лак — результат окисления масляной пленки, покрывающей контактирующие поверхности, под действием высокой температуры в камере сгорания. До 80% его объема занимает углерод, остальное — кислород, водород и зола. Лаковое покрытие ухудшает теплопередачу через масляную пленку и приводит к опасному перегреву поршня и цилиндра. Наиболее опасно отложение лака в поршневых канавках, приводящее к залеганию колец вследствие «коксования». Последнее представляет собой симбиоз нагара и лаковой пленки.
Шламы — смесь продуктов низкотемпературного окисления углеродных соединений с водными и эмульсионными загрязнениями. Причинами их возникновения являются: недостаточная температура двигателя, низкое качество масла, особенности конструкции мотора, а также режим эксплуатации.

Советские ученые из НАМИ определили наиболее благоприятную температуру работающего двигателя, при которой износ деталей является минимальным. Как для карбюраторных, так и для дизельных моторов нужно, чтобы температура масла в нормально работающем двигателе находилась в интервале 70 — 80°C.
Для достижения указанных значений охлаждающая жидкость на современных двигателях в нормальных условиях эксплуатации не нагревается выше 80 — 90°C. С учетом этого, оптимальной температурой масла считается 90 — 105°C, или на 10 — 15 градусов горячее охлаждающей среды.
Если масло холоднее 90°C, эффективность работы двигателя снизится, с одновременным уменьшением его ресурса. Поршневые юбки, охлаждаемые смазывающей жидкостью, расширятся меньше, чем при расчетной температуре.
Из-за увеличения тепловых зазоров между поршнем и цилиндром уменьшится компрессия, а значит — снизится эффективность рабочего процесса. Кроме того, смазка начнет разбавляться горючим, что приведет к образованию сажи и увеличению расхода топлива.
Еще одним негативным следствием недостаточно нагретого масла является выделение кислот из отходов рабочего процесса. В цилиндрах двигателя всегда присутствует влага, попадающая с атмосферным воздухом. При нормальном температурном режиме вода почти полностью испаряется.

Когда масло недостаточно горячее, условия для образования кислот становятся благоприятными. Кислотные составляющие способны реагировать с легкими металлами, в результате чего двигатель не прослужит ожидаемого срока.
Избыточный нагрев смазочной жидкости намного опаснее предыдущего случая. До того как рабочая температура масла не выходит из допустимых границ, детали, работающие в гидродинамическом режиме смазывания (шатунные и коренные шейки коленвала), не имеют механического контакта между собой.
После нагрева масла выше 105°C, вязкость его уменьшается, и оно становится более текучим. При этом под действием нагрузки масляный зазор теряет свою несущую способность, и взаимодействующие детали вступают в соприкосновение.
С этого момента за счет трения начинают разогреваться трущиеся детали, а тепловой зазор между ними сокращается. Повышающаяся температура масла приводит к его окислению, теоретически это можно выявить с помощью лабораторного анализа. Когда масло нагревается выше 125°C, оно становится настолько текучим, что просачивается сквозь маслосъемные кольца и проникает в рабочую полость цилиндра, где и происходит его угар.
Из-за увеличивающегося расхода масло приходится доливать, при этом все масляные присадки обновляются, и результаты анализа оказываются недостоверными. Двигатель начинает усиленно изнашиваться, но это часто списывают на плохую работу смазочной системы.

И только после поломки мотора можно обнаружить, какая причина способствовала печальному исходу. При масляном голодании был бы поврежден маслонасос, а на поршнях могли быть задиры. А в этом случае насос исправен, но задраны шейки коленвала.
Заканчивая статью, хотелось бы посоветовать водителям, желающим сохранить здоровье своего железного «коня», не допускать длительной езды на больших оборотах, следить за температурой моторного масла, своевременно производить его замену и заливать проверенный продукт с рекомендованной автопроизводителем вязкостью.
Зависит ли срок службы масла в одном и том же двигателе от вида этого масла? Почему одно ходит от смены до смены, а другое приходится периодически подливать?
Статья на эту тему опубликована в ЗР, 2012, №7. А вот полный ее вариант – только здесь. Исследования проводил гуру по части масел, бензинов и прочей автохимии, доцент Санкт-Петербургского политехнического Университета Александр Шабанов.
Не так давно один знакомый полуолигарх (недоолигарх) пожаловался…
– Ничего не понимаю! Купил «Кайена Би-Турбо», а он масло жрет по два литра на тысячу! Причем – хорошей дорогой синтетики… Я не бедный, но жаба душит!
Задушила жаба – продал он «Поршика». Но вопрос все же остался – куда же уходит масло? И какое масло уходит меньше? Будем разбираться…
Для испытаний мы взяли семь масел разных типов, но одной группы по вязкости, соответствующей SAE 5W-40. При выборе попробовали перекрыть все основные группы базовых масел. Почему был сделан именно этот выбор, расскажем чуть ниже.
Основной причиной ухода масла является его угар: подробности – в «Нашей справке». На него влияют конструкция и состояние двигателя, режим эксплуатации, температура воздуха за бортом. И, конечно же, свойства самого моторного масла.
Ни один параметр масла напрямую не подсказывает, сколь быстро будет оно угорать. Косвенно об этом свидетельствуют две величины. Первая – испаряемость масла (см. врезку) и температура вспышки. Если первый параметр практически нигде не фигурирует, и раздобыть его сложно, то температура вспышки указывается во всех спецификациях масел. Это температура, при которой происходит воспламенение паров масла, испаренных с поверхности масляной пленки при воздействии открытого огня (в нашем случае – пламени от сгорания топлива). Зависит она от состава масла – чем больше в нем легких фракций, тем ниже температура вспышки.
Теперь понятно, почему мы выбрали столь разношерстную компанию для испытаний. Минеральное масло – «Лукойл Стандарт» 10W-40, с температурой вспышки по паспорту 217° С. Оно пойдет как база, с ним будем сравнивать другие. Три «полусинтетики» из группы 5W-40 – гидрокрекинговое масло ZIC A+ с температурой вспышки 235°С, Castrol Magnatec (232° С) и RAVENOL (224° С). «Синтетики» постарались взять с максимальным значением температура вспышки. Выбрали наш «ТОТЕК Астра Робот» на базе полиальфаолефинов (ПАО), относимый производителем к категории Full Synthetic – его температура вспышки 246° С. Компанию ему составил эстеровый Xenum X1 c рекордными 247° С. Ну, и чтобы рассеять сомнения о том, что «синтетики» горят меньше других масел, взяли еще одно масло – Neste Oil, также позиционируемое как «полная синтетика», с температурой вспышки 228° С. Вязкость всех масел – близкая, а вот основы – абсолютно разные, совсем разные: «минералки», простые и продвинутые гидрокрекинговые «полусинтетики», хорошие «синтетики» на базе ПАО и даже самые продвинутые синтетические масла на эстеровой базе.
Дальше – все просто. Строго дозированные 3 литра масла заливают в мотор, после чего – тридцатичасовой заезд на условной скорости 120 км/час. Движок простенький, «жигулевский» 21083, так что для него практически 4 тысячи километров пробега на постоянной скорости – серьезное испытание. После заезда масло практически до капли сливают по строго определенному ритуалу. Остается сравнить остатки.
Продукты сгорания масла влияют на токсичность отработавших газов- чтобы отследить, насколько, по ходу испытаний на фиксированном режиме работы замеряем содержание остаточных углеводородов в отработавших газах. Поскольку топливо одно и то же, то все различия, выходящие за предел погрешности измерения, можно отослать на так называемые «нетопливные СН», порождаемые испарением и сгоранием масла в цилиндрах.
Итог подтверждает наши предположения. Угорает меньше масло с более высокой температурой вспышки. Так, наш «ТОТЕК Астра Робот» показал лучший результат, в пределах погрешности измерения с ним лежит и бельгийский XENUM X1. И, действительно, температура вспышки у них лежит за 245° С. Среди всех «полусинтетик» лучший результат по угару показал корейский ZIC A+ с заявленными 235°С. А худший результат показала обычная «минералка» с ее 217° С. Данные замеров СН также косвенно подтверждают эти результаты.
Можно возразить: мол, и так ясно, что синтетика лучше минералки! А вот и нет! Сравните данные по полусинтетическому ZIC A+ и «полной синтетике» Neste Oil – кореец дает показатели пусть и немного, но лучшие! Оно и понятно – мотор наклеек на канистрах не читает, ему важны свойства углеводородной жидкости, залитой в поддон!
Итак, на что смотреть, когда выбираешь масло, чтобы его поменьше расходовалось? Вопрос особо актуален для побитых жизнью моторов, в которых одной заправки масла от смены до смены уже не хватает, а также для любителей быстро и далеко ездить, равно как и для владельцев мощных моторов с турбонаддувом.
Наш совет следующий: всем им показаны масла с пониженной испаряемостью! К сожалению, на канистрах ничего такого вы не прочитаете: придется полазить по сайтам производителей. И тут легче всего ориентироваться на температуру вспышки: она приводится для всех масел. Чем она выше, тем лучше. Как показали наши испытания, цифра выше 230° С обеспечивает сравнительно малый расход масла на угар. А уж если он лезет за 240° С, то и совсем хорошо. Правда, за все время работы с маслами в группе «сороковок» такими величинами могли похвастаться только две их марки: «XENUM X1» и наш «ТОТЕК Астра Робот.
Да, и что важно – температура вспышки масла различна для масел разных групп вязкости. Вязкость – первична, поэтому сначала подберем требуемое масло по SAE, а уж потом, в пределах выбранной группы, будем уточнять свой выбор, выискивая масло с максимальной температурой вспышки.
КУДА УХОДИТ МАСЛО?
Если на асфальте под машиной нет масляных луж, то есть все сальники целы, то основным источником расхода масла в моторе является его угар в цилиндрах. Для атмосферных двигателей он может определять до 80 – 90% всех потерь масла, для их коллег с турбонаддувом – до 60 – 70%. Следующий по значимости путь, по которому масло покидает мотор – это смазка турбокомпрессора; далее – протечки масла через маслоотражательные колпачки. Этот путь, впрочем, может стать основным, если они полностью изношены или совсем высохли. И кое-что уходит в виде паров масла через систему вентиляции масла.
Кстати, кроме денежек, улетающих с маслом, его большой расход чреват еще многими проблемами. Это – повышенный темп загрязнения внутренних поверхностей двигателя: ведь горит масло плохо и грязно. Это – снижение ресурса катализаторов, которые не в состоянии переварить продукты неполного сгорания тяжелых углеводородов масла. Это рост токсичности отработавших газов – ведь недаром сейчас «Це-Аши» в них разделяются на «топливные» и «нетопливные», то есть масляные.
ПОЧЕМУ И КАК УГОРАЕТ МАСЛО?
Бытует мнение – ВСЕ масло, попавшее в цилиндр, неизбежно и безвозвратно сгорает! Так ли это? Нет, не так!
Масло попадает в цилиндры в виде масляной пленки, оставляемой первым поршневым кольцом. Средняя ее толщина – до десяти-двадцати микрон, в зависимости от режима работы, степени износа двигателя, вязкости масла и еще кучи других параметров. Это доказано давно и точно! Если взять типичный полуторалитровый двигатель, то легко подсчитать, что при толщине масляной пленки в 10 мкм, за один цикл в цилиндры попадает около одного «кубика» масла. То есть, если бы оно все выгорало, то при 3000 об/мин. за минуту в трубу вылетало бы… 1,5 литра масла! Значит, за каждый цикл сгорает не вся масляная пленка, а только его малая часть.
Как это происходит? Вспомните, как ведет себя масло на сковородке, когда ее греете, прежде чем разбить на нее парочку-троечку яиц. Сначала оно растекается по горячей поверхности, потом, по мере нагрева сковородки, начинает кипеть и вонять на всю кухню. А, если плеснуть холодное масло сразу на раскаленную сковородку, то можно его брызгами и в лицо получить.
Теперь о том же, но «по научному». Когда масло прогрето ниже температуры кипения, оно испаряется медленно, диффундируя с нагретой поверхности. Когда начинает кипеть – испарение резко усиливается. А уж при очень высоких температурах микровзрывы отбрасывают капли масла от сковородки.
В цилиндре двигателя – все аналогично, разве что яиц там нет… И, судя по нашим оценкам, преобладать должен первый режим испарения масла, когда до его объемного кипения дело не доходит. Казалось бы, при огромных температурах сгорания топлива в цилиндрах, масло должно как минимум «шкворчать»! Но в том-то и дело, что сидит оно тонкой пленкой на сравнительно холодной поверхности цилиндра, охлаждаемого антифризом, и поэтому прогревается не так сильно. И лишь для некоторых режимов, когда педаль акселератора топится в пол, поверхностные слои пленки масла начинают кипеть. Именно поэтому при быстрой езде доливать масло приходится чаще.
ОБ ИСПАРЯЕМОСТИ МАСЛА
Скорость испарения масла должна зависеть от температуры начала его кипения, фракционного состава и толщины масляной пленки, формируемой первым поршневым кольцом на стенке цилиндра, которая, в свою очередь, зависит от высокотемпературной вязкости масла. Все это хорошо, но описания масел таких параметров обычно не содержат… Есть, правда, так называемая «испаряемость масла по NOACK» – чем она ниже, тем меньше склонность масел к угару. Принцип определения этого параметра прост – масло греют один час при температуре 250° С, после чего оценивают потерю массы. «Минералки» при этой пытке теряют до 22 – 25% , хорошие современные «синтетики» – менее 8 – 10%. Чем выше класс базового масла, тем ниже потери масла на испаряемость. Но, к сожалению, большинство фирм не указывают этот параметр в описаниях своих масел, выложенных на своих официальных сайтах.
Однако, в реальном двигателе все гораздо сложнее. Там при резко переменных температурах и давлениях испаряется тонкая пленка масла, чего ни одной модельной установкой не измеришь. Отсюда и возможные ошибки: из метода следует, что испаряемость более вязких масел ниже, а на практике с ростом вязкости масла растет его расход. Причина простая: толщина слоя масла на стенках цилиндра, а значит, его пропуск в зону прогрева и испарения, с ростом вязкости резко увеличивается.
Температура вспышки масла моторного - один из ключевых параметров машинного масла. Независимо от вида масла: минерального или синтетического.
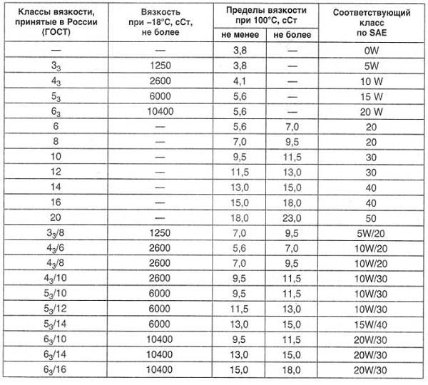
Вязкость указывается непосредственно на канистре. Она состоит из сложного числа. Вязкость в данном случае обозначается вот так - 5w40, где w - первая буква английского слова winter, которое переводится как «зима». Цифра или цифры слева от w показывают зимний параметр, справа от w - летний параметр. Следует разобраться с зимним периодом.
Чем меньше цифра, стоящая слева от w, тем на более низкую температуру рассчитано масло. Стоит запомнить магическую цифру «35». Почему именно ее? Если вычесть от первой цифры вязкости 5w - 35 градусов, то полученный результат (-35°C) и будет той минимально допустимой температурой, при которой проворачивание мотора стартером возможно осуществить.
Запустится ли двигатель при такой температуре или нет, это вопрос другой. Очень многое зависит от:

Запуск двигателя авто при низкой температуре Среди автомобилистов гуляет число не 35, а 40 (масло 10w40). Что же оно значит? Это температура, при которой масло может быть прокачано масляным насосом, в этих случаях происходят критические изменения - узлы трения выходят из строя. Разница в пять градусов - это последняя страховка для двигателя автомобиля, равняться на эту цифру нельзя. Ниже приведена таблица вязкости.
Температурный диапазон может быть очень широким. В случае прогревания двигателя до рабочего состояния вязкость масла уменьшается до нормы. Рабочая температура двигателя не превышает нормы для своей нагрузки и укладывается в допустимый температурный режим. Моторесурс не повышается даже при высоком показании термометра и может работать достаточно долго.
Высокий уровень температуры в двигателе намного опаснее, чем низкий. Чрезмерное повышение может довести масло до кипения. Если не обратить на это внимания, то в дальнейшем возникнут проблемы. Смазка достигает кипения в пределах 250-260 °C, начинает дымиться и пузыриться.

Кипение моторного масла
Если высокая температура сохраняется долго, то снижается вязкость, и детали не могут качественно смазываться.
При повышении до 125°C наступают необратимые последствия, и масло начинает улетучиваться вместе с топливом, обойдя поршневые кольца.
Концентрация продукта становится достаточно низкой - при выхлопе его вообще не будет видно. Скорость расходования увеличивается, поэтому его надо постоянно доливать. Если уровень масла упал, то надо доливать до уровня оптимального. Во время кипения продукт теряет свои изначальные свойства и вязкость.
В случае когда вещество теряет свои агрегатные свойства, прекращает свою подвижность, то это состояние является температурой застывания. Усиленная кристаллизация парафина, находящего в масле, и увеличение степени вязкости - все это и характеризует застывание.

Кристаллизация парафина смазочной жидкости При низких температурах продукт становится вязким и малоподвижным. За счет выделения углеводородов в состав повышается пластичность, и консистенция постепенно начинает затвердевать.
Градус застывания может быть предельно-минимальной, при которой процесс циркуляции жидкости продолжается в системе, однако качество самого движения гораздо ухудшается.
Температура вспышки - положение диаметрально противоположное застыванию. Если поднести газовое пламя к поверхности масла, то возникнет вспышка. При нагревании продукта концентрация масляных паров над поверхностью очень велика, и это способствует столь высокому воспламенению.
Понижение температуры вспышки вместе с изменением вязкости могут свидетельствовать о неисправности двигателя. Основные неполадки: системы впрыска, подачи топлива, неисправности карбюратора.
есть разное масло.например-0W30,5w30,10w30 и температура кипения у них разная
Можно было бы прикинуть, но не, из Д-пилса самовывоз дороже выйдет))
Можно. Минералку с синтетикой нежелательно - забъёт протоки.
В Maxime есть средство 3-4 euro (на нём мотор нарисован) попшикаеш на мотор на 10 минут а потом струйкой маленькой воды смоеш (но только лудше оставить высохнуть на 6-10 часов. ) Так я поступил и был доволен.
На твайку за Алдарисом очень широкий выбор и огромный разброс цен.
Мотивация проста - моторное масло содержит богатый пакет присадок различного назначения, отличается от оружейного более высоким качеством изготовления
Поэтому, мое ИМХО, надо прекращать колхозить а смазывать тем, что для оружия предназначено. В таком случае оружие будет служить верой и правдой.
Чистить наверное можно много чем а вот смазывать оружие автомобильным маслом не правильно если мягко сказать. любое авто масло для этого слишком густое и на морозе могут быть неприятные последствия для УСМ в частности.
Кроме того, автомобильное, оно же моторное масло НЕ предполагает того что на деталях будет находиться например земля и песок, деталь в моторном масле отлично задерживает на себе и то и другое. Оружейное же более жидкое и к нему все меньше прилипает. Другими словами, может гуру местные считают иначе, но ружейное масло придумано именно так, чтобы максимально отвечать всем потребностям именно оружия а не мотора, а моторное -наоборот.
Не знаю, я видел вепря. которого мужик смазал, из-за ружья смазанного моторкой, на морозе он очень интересно -тихо бряцал затворной рамой и происходили неперезаряды. Божится что на этих же патронах до смазки он нормально работал. У Т-10 могут быть проблемы с наколом капсуля если не убрать консервационную смазку из канала ударника.
Автомобильные моторы должны справляться с сильными тепловыми нагрузками в любых эксплуатационных условиях. Именно по этой причине к характеристикам моторного масла выдвигаются высокие требования. Смазку применяют, чтобы предотвратить трение соприкасающихся запчастей силового агрегата. Масло моторное разделяет эти детали, быстро проходит по всем маслоканалам. Температура вспышки представляет собою показатель, который указывает на условия, при которых начинается испарение масляной жидкости.
Есть ли з ависимость вязкости масел от температуры? Разумеется. Изготавливая машинный движок, автопроизводители должны определиться с вязкостью масла, которая способна увеличиваться/уменьшаться при перепадах температуры.
Температуру кипения определяют следующим образом. Автомасло нагревают в специальной емкости. Потом температуру начинают постепенно повышать (на два градуса в минуту). Повышение продолжается до тех пор, пока не начнется закипание и горение смазки.
Температура самовоспламенения указывает на наличие в составе масляной жидкости легкокипящих элементов. Этот параметр связан с испаряемостью продукта. Качественные нефтепродукты могут переносить предельно высокие температуры (выше двухсот двадцати пяти градусов по Цельсию). Маловязкие автомасла испаряются с большой скоростью. Из-за этого их надо часто менять.
От -35 до +180 градусов – таков обычный минимальный и максимальный предел рабочих температур расходников. Температура масла в двигателе зависит от конструктивных особенностей движка, а также от климатических условий. Для получения хороших температурно-вязкостных показателей смазку делают гуще при помощи особых присадочных веществ, которые уменьшают степень изменения параметров нефтепродукта при температурных перепадах.
В обыкновенном моторе с водным охлаждением должна быть температура от восьмидесяти до девяноста градусов. Вязкость может уменьшаться до 10 мм 2 /с. Из-за этого смазочная пленочка делается чересчур тонкой. Она неспособна качественно защитить все моторные запчасти при езде.
Необходимо знать диапазоны температур, в которых возможно применять различные автомасла. Смазки для зимы содержат в маркировке одно число и букву «w». Масла для лета маркируются одним числом. Всесезонные нефтепродукты, которые можно лить в движок в любое время года, промаркированы двумя числами и буквой «w». Разработана особая таблица, в которой есть информация обо всех диапазонах.
Масла предназначаются для ДВС на бензине/дизеле. Также существуют универсальные автомасла. Показатели масла зависят от основной жидкости и присадочных веществ. Масла делятся на полусинтетику, синтетические и минеральные продукты.
Расширение диапазона температур приводит к увеличению качества смазочной жидкости. Существует прямая зависимость вязкости моторных масел от температуры. Чем выше температура, при которой работает двигатель, тем жиже нефтепродукт.
Значение имеет не только уличная, но и рабочая температура, которая зависит от пробега машины, нагрузки. В двигателе внутреннего сгорания любого авто обыкновенно предусмотрено 2 режима прокачки смазки:
К низкотемпературным показателям масла причисляются такие характеристики:
Необходимо сказать, что температурный диапазон проворачиваемости на пять градусов отличается от диапазона прокачиваемости (в большую сторону).
Что произойдет, если работающий двигатель нагрелся до оптимальной температуры, но вязкость масла не уменьшилась до требуемого значения? Ничего страшного. Нужно лишь подождать, пока смазка примет подходящую консистенцию.
Чересчур большая температура в двигателе опаснее, чем слишком маленькая. Высокотемпературные условия могут довести до сгорания нефтепродукта. Когда масло кипит, оно пузырится, дымится. Это происходит при температуре от двухсот пятидесяти до двухсот шестидесяти градусов (диапазон может немного расширяться).
При высокой температуре уменьшается густота масла. Следовательно, оно хуже защищает запчасти. Уменьшение промежутков между разными деталями приводит к тому, что силовой агрегат функционирует не на полную мощность. Если температура автомасла увеличилась до ста двадцати пяти, оно станет прогорать вместе с горючим, когда пройдет по всем поршням. Содержание смазки в топливе будет небольшим, ее расход увеличится, понадобится постоянно лить новую.
Состояние, при котором масло вспыхивает, если приблизить к нему пламя газа, называется температурой вспышки. При нагреве смазки накапливаются особые пары (от испаренного масла), способствующие возгоранию.
Данный показатель указывает на то, насколько масло летуче, на уровень его очищения.
Состояние, при котором автомасло лишается тягучести и подвижности, называется температурой замерзания. При застывании резко увеличивается вязкость, парафин кристаллизуется. Смазка делается тверже, пластичнее.
Советы по подбору и замене смазочной жидкости:
Какую масляную жидкость приобрести, чтобы обеспечить надежную защиту деталей собственного автомобиля? Лучше всего, конечно, выбрать продукт, который рекомендует ваш автопроизводитель. Определение оптимальных для двигателя характеристик нефтепродукта – сложный процесс. Изготовитель проводит множество различных тестов, чтобы установить, какое автомасло будет самым подходящим для какого-либо мотора.
В реальных условиях диапазон допустимых температурных условий может расшириться. Обусловлено это климатом, который в Российской Федерации достаточно жесткий (особенно зимой). Каждый автолюбитель должен уметь подбирать оптимальную смазку, основываясь на рекомендациях производителя своей машины, а также на реальных дорожных условиях. Это предоставляет возможность максимально продлить эксплуатационный период любого транспортного средства, будь то легковушка, микроавтобус либо же грузовик.
Двигатели автомобилей должны выдерживать высокие механические тепловые нагрузки, поэтому к качеству смазочного вещества предъявляются высокие требования. Моторные масла имеют характеристики и множество показателей.
Смазывающее вещество используют, чтобы не допустить сухого трения внутренних деталей двигателя. Моторная жидкость должна обеспечивать разделение поверхностей трения, эффективно прокачиваясь по масляным каналам. Температура (в дальнейшем темп.) вспышки моторного смазывающего — это параметр, характеризующий его испаряемость.
Характеристики моторного масла - вязкость и зависимость от темп. в широком диапазоне.
Создавая двигатель автомобиля производители, прежде всего, должны рассчитать вязкость моторного нефтепродукта, которая может изменяться с изменением температур.
Темп. вспышки определяется нагреванием рабочей жидкости в открытом или закрытом тигле, приборе, куда его заливают и подогревают. Чтобы зафиксировать темп. состояние рабочей жидкости следует провести над тиглем зажженным фитильком.
Рабочая темп. моторных масел не должна повышаться больше чем на 2 градуса в течение 1 минуты. Смазывающее вещество должно не только вспыхивать, но и гореть. Низкая темп. моторных масел увеличивает вязкость жидкости, и наоборот.
Вязкость моторных масел, которая указана в руководстве по эксплуатации, должна быть оптимальной.
Температура вспышки моторных масел характеризует присутствие в нем легкокипящих фракций. Она связана с таким показателем, как испаряемость нефтепродукта во время эксплуатации. Хорошие рабочие вещества имеют темп. показатели вспышки более 225°C.
Фракции, обладающие слабой вязкой, которые есть в наличии только у некачественных масел, выгорают и испаряются очень быстро. В результате этого смазочный продукт также быстро расходуется. К тому же, его температурные свойства ухудшаются.
35°С - 180°С - таковы пределы рабочих температур масел. Температурное состояние рабочей жидкости зависит от конструкции ДВС и темп. воздуха. Чтобы получить хорошие вязкостно-температурные характеристики, нефтепродукта загущают посредством специальных присадок, позволяющих меньше «разжижаться» при достижении высоких темп. и делаться гуще при низких.
Рабочий температурный показатель обычного двигателя с водяным охлаждением должен быть между 80°C и 90°C. Исходя их этого, рабочее темп. состояние смазки должно быть выше на 10°C — 15°C температурного состояния охладителя, но не доходить до отметки 105°C.
Рабочая вязкость может падать ниже 10 мм 2/c. В результате этого масляная плёнка будет слишком тонкой, чтобы стать качественной смазкой для всех деталей в двигателе.
Стоит знать температурный диапазон применения некоторых нефтепродуктов.
В названии зимних рабочих жидкостей содержится буква «W»: 4OW, 5W, 10W, 15W, 20W, 25W.
Летние обозначаются числами — 20, 30, 40, 50, 60. Вязкость выше, если выше число.
Двойное обозначение имеют всесезонные смазывающие: SAE 15W-40.
Существует таблица значений и характеристик вязкости смазочного продукта по SAE:

Смазочный продукт бывает бензиновым, дизельным и универсальным, а также всесезонным, летним и зимним. Характеристики смазывающего зависят от базового вещества, которое является основой и с помощью которого различают минеральные, полусинтетические и синтетические продукты для смазки.
Если температурный диапазон, который обеспечивает нужную вязкость жидкости, широк, то выше и его индекс, а значит, такой продукт можно назвать высококачественным. У рабочего вещества может быть как низкое темп. состояние, доводящее его до застывания, так и высокое, то есть температура кипения. О застывании немного позже.
Важно помнить не только о температуре на улице, но и о рабочей темп. в двигателе, так как на него влияют пробег автомобиля и нагрузки.
В двигателе каждого автомобиля обычно применимы два режима поступления смазывающего вещества:
Существуют низкотемпературные параметры смазки. К ним относятся:
Стоит отметить, что рабочая температура прокачиваемости на 5 градусов ниже температурного состояния проворачиваемости.
Существует таблица температурных состояний нефтепродукта.
Для всесезонных и зимних моторных масел важна низкая темп. застывания.
При запуске холодного двигателя или во время движения с низким температурным показателем жижа поступает в самые отдаленные места.
Температура застывания, которая влияет на поступление рабочей жидкости к трущимся деталям, при этом должна быть ниже темп. окружающей среды. Темп. застывания моторного нефтепродукта должна быть ниже на 5-10°С температуры запуска двигателя.

Что может случиться, если мотор прогрелся до рабочих темп., однако, вязкость смазки не снизилась до нужного уровня? Ничего страшного не будет при нагрузках. Немного повысятся температурные показатели мотора, а вязкость уменьшится до нормы.
Рабочие температурные показатели мотора не превысят нормы для этой нагрузки и уложится в диапазон допустимости. Но мотор может достаточно большой отрезок времени работать при высоких показателях термометра, что не приведет к увеличению его моторесурса.
Залив нового масла в двигатель
Слишком высокий уровень теплоты в моторе опаснее, чем низкий. Повышение температурного состояния может довести смазку до кипения. Если ее нагреть до стадии кипения, то можно увидеть, как оно запузырится и задымится. Смазка доходит до кипения при 250-260 градусов.
При повышенном температурном состоянии понижается вязкость смазки, из-за чего она не сможет качественно смазывать детали. К тому же уменьшение зазоров может повлечь за собой повреждение механизма. Если температура смазки повысилась до отметки 125 градусов, то оно будет гореть вместе с топливом после того, как обойдет поршневые кольца.
При этом концентрация смазочного материала в горючем будет низкой, поэтому при выхлопе он не будет заметен. Жидкость будет быстро расходоваться. Поэтому потребуется частое заливание новой. Если агрегат требует добавить смазки, то обратите на это внимание.
Почему смазочный продукт нельзя доводить до кипения?
Непосильная нагрузка на двигатель и недостаточный за ним уход приводят жидкость в состояние кипения, при котором она теряет вязкость и другие необходимые качества.

Состояние, при котором появляется вспышка на поверхности смазки, если преподнести к нему газовое пламя, называется температурой вспышки. При нагревании смазочного продукта концентрируются масляные пары, которые способствуют воспламенению.
В температурных состояниях вспышки и воспламенения есть различия, которые связаны со способом проведения испытания и с самим аппаратом. Температурное состояние вспышки и воспламенения - это показатели летучести рабочего вещества, которые определяют его тип, а также степень его очистки.
Но температурные состояния воспламенения и вспышки не могут характеризовать работу смазки в двигателе и его качество.
Если вещество перестаёт быть тягучим и подвижным, то это называется температурой застывания. Резкое увеличение вязкости и процесс кристаллизации парафина - то, что характеризует застывание. Смазочный продукт, который находится в условиях низких температур, становится неподвижным и вязким. Он получает более твердую консистенцию и пластичность из-за выделения углеводородных компонентов.
Температура застывания равноценна предельной минимальной темп. циркуляции жидкости и системе смазки мотора.
Одним из резервов повышения показателей эксплуатационной надежности ДВС является снижение отложений нагаров, лаков и осадков на поверхностях их деталей, контактирующих с моторным маслом. В основе их образования лежат процессы старения масел (окисление углеводородов, входящих в состав масляной основы). Определяющее влияние на процессы окисления масла в двигателях, на образование отложений и эффективность работы ДВС в целом оказывает тепловой режим теплонагруженных деталей.
Ключевые слова: температура, поршень, цилиндр, моторное масло, отложения, нагар, лак, работоспособность, надежность.
Отложения на поверхностях деталей ДВС делятся на три основных вида – нагары, лаки и осадки (шламы).
Нагар – твердые углеродистые вещества, откладывающиеся во время работы двигателя на поверхностях камеры сгорания (КС). При этом отложения нагаров, главным образом, зависят от температурных условий даже при аналогичном составе смеси и одинаковой конструкции деталей двигателей. Нагар оказывает весьма существенное влияние на протекание процесса сгорания топливовоздушной смеси в двигателе и на долговечность его работы. Почти все виды ненормального сгорания (детонационное сгорание, калильное воспламенение и прочие) сопровождаются тем или иным влиянием нагара на поверхностях деталей, образующих КС.
Лак – продукт изменения (окисления) тонких масляных пленок, растекающихся и покрывающих детали цилиндропоршневой группы (ЦПГ) двигателя под действием высоких температур. Наибольший вред для ДВС наносит лакообразование в зоне поршневых колец, вызывая процессы их закоксовывания (залегания с потерей подвижности). Лаки, откладываясь на поверхностях поршня, контактирующих с маслом, нарушают должную теплопередачу через поршень, ухудшают теплоотвод от него.
На количество осадков (шламов), образующихся в ДВС, решающее влияние оказывает качество моторного масла, температурный режим деталей, конструкционные особенности двигателя и условия эксплуатации. Отложения этого типа наиболее характерны для условий зимней эксплуатации, интенсифицируются при частых пусках и остановках двигателя.
Тепловое состояние ДВС оказывает определяющее влияние на процессы образования различных видов отложений, прочностные показатели материалов деталей, выходные эффективные показатели двигателей, процессы изнашивания поверхностей деталей. В этой связи необходимо знать пороговые значения температур деталей ЦПГ, по крайней мере, в характерных точках, превышение которых приводит к указанным ранее негативным по следствиям.
Температурное состояние деталей ЦПГ ДВС целесообразно анализировать по значениям температур в характерных точках, расположение которых показано на рис. 1 . Значения температур в данных точках следует учитывать при производстве, испытаниях и доводке двигателей для оптимизации конструкций деталей, при выборе моторных масел, при сравнении тепловых состояний различных двигателей, при решении целого ряда других технических проблем конструирования и эксплуатации ДВС.
Рис. 1. Характерные точки цилиндра и поршня ДВС при анализе их температурного состояния для дизельных (а) и бензиновых (б) двигателей
Эти значения имеют критические уровни:
1. Максимальное значение температур в точке 1 (в дизельных двигателях – на кромке КС, в бензиновых – в центре донышка поршня) не должно превышать 350С (кратковременно, 380С) для всех серийно применяемых в автомобильном двигателестроении алюминиевых сплавов, иначе происходит оплавление кромок КС в дизелях и, нередко, прогар поршней в бензиновых двигателях. Ко всему прочему высокие температуры огневой поверхности днища поршня вызывают образование нагаров высокой твердости на этой поверхности. В практике двигателестроения это критическое значение температуры удается повышать путем добавления в поршневой сплав кремния, бериллия, циркония, титана и других элементов.
Недопущение превышения критических значений температур в этой точке, равно как и в объемах деталей ДВС, обеспечивается также путем оптимизации их форм и правильной организацией охлаждения. Превышение температурами деталей ЦПГ двигателей допустимых значений обычно является основным сдерживающим фактором для форсирования их по мощности. По температурным уровням следует иметь определенный запас с учетом возможных экстремальных условий эксплуатации.
2. Критическое значение температур в точке 2 поршня – над верхним компрессионным кольцом (ВКК) – 250…260С (кратковременно, до 290С). При превышении этой величины все массовые моторные масла коксуются (происходит интенсивное лакообразование), что приводит к “залеганию” поршневых колец, то есть потере их подвижности, и в результате – к существенному уменьшению компрессии, увеличению расхода моторного масла и др.
3. Предельное максимальное значение температур в точке 3 поршня (точка расположена симметрично по сечению головки поршня на внутренней его стороне) – 220С. При более высоких температурах на внутренней поверхности поршня происходит интенсивное лакообразование. Лаковые отложения, в свою очередь, являются мощным тепловым барьером, препятствующим теплоотводу через масло. Это автоматически приводит к повышению температур во всем объеме поршня, а значит, и на поверхности зеркала цилиндра.
4. Максимально допустимое значение температур в точке 4 (расположена на поверхности цилиндра, напротив места остановки ВКК в ВМТ) – 200С. При его превышении моторное масло разжижается, что приводит к потере стабильности образования масляной пленки на зеркале цилиндра и «сухому» трению колец по зеркалу. Это вызывает интенсификацию молекулярно-механического изнашивания деталей ЦПГ. С другой стороны, известно, что пониженная температура стенок цилиндра (ниже точки росы отработавших газов) способствует ускорению их коррозионно-механического изнашивания [1,2]. Ухудшается также смесеобразование и уменьшается скорость сгорания топливовоздушной смеси, что снижает эффективность и экономичность работы двигателя, вызывая повышение токсичности отработавших газов. Также следует отметить, что при существенно заниженных температурах поршня и цилиндра сконденсированные водяные пары, проникающие в картерное масло, вызывают интенсивную коагуляцию примесей и гидролиз присадок с образованием осадков – «шламов». Эти осадки, загрязняя масляные каналы, сетки маслоотстойников, масляные фильтры, существенно нарушают нормальную работу смазочной системы.
На интенсивность протекания процессов образования отложений нагаров, лаков и осадков на поверхностях деталей ДВС существенно влияет старение моторных масел при их работе. Старение масел состоит в накоплении примесей (в том числе воды), изменении их физико-химических свойств и окислении углеводородов.
Изменение фракционного состава чистого залитого масла по мере работы двигателя вызывается в основном причинами, изменяющими состав его масляной основы и процентное соотношение присадок по отдельным составляющим (парафиновым, ароматическим, нафтеновым).
К ним относятся:
процессы термического разложения масла в зонах перегрева (например, в клапанных втулках, зонах верхних поршневых колец, на поверхностях верхних поясов зеркала цилиндров). Такие процессы приводят к окислению наиболее легких фракций масляной основы или даже их частичному выкипанию;
добавление к углеводородам основы неиспарившегося топлива, попадающего в начальные периоды пусков (или при резком увеличении подачи топлива в цилиндры для осуществления ускорения автомобиля) в маслосборник картера через зону поршневых уплотнений;
попадание в поддон картера или маслосборник двигателя воды, образующейся при сго-рании топлива в КС цилиндров.
Если система вентиляции картера действует достаточно эффективно, а стенки картера находятся в подогретом состоянии до 90-95°С, вода не конденсируется на них и удаляется в атмосферу системой вентиляции картера. Если температура стенок картера существенно понижена, то попавшая в масло вода будет принимать участие в процессах его окисления. Количество сконденсировавшейся воды при этом может быть весьма значительным [2]. Даже если считать, что только 2% газов могут прорваться через все компрессионные кольца цилиндра, то через картер двигателя с рабочим объемом 2-2,5 л за каждые 1000 км пробега будет прокачиваться по 2 кг воды. Допустим, что 95% воды удаляется системой вентиляции картера, то все равно после пробега в 5000 км на 4,0 л моторного масла будет приходиться около 0,5 л Н2О. Эта вода при работе двигателя преобразуется антиокислительной присадкой, содержащейся в моторном масле, в примеси – кокс и золу.
По указанным ранее причинам необходимо поддерживать при работе двигателя температуру стенок картера достаточно высокой, а в случае необходимости – применять системы смазки с сухим картером и отдельным масляным баком.
Следует отметить, что мероприятия, замедляющие процессы изменения состава масляной основы, существенно замедляют образование нагара, лака и осадков, а также снижают интенсивность изнашивания основных деталей автомобильных двигателей .
Фракционный и химический состав масел может изменяться в достаточно широких
пределах под влиянием различных факторов:
характера сырья, зависящего от месторождения, свойств нефтяной скважины;
особенностей технологии изготовления моторных масел;
особенностей транспортировки и длительности хранения масел.
Для предварительной оценки свойств нефтепродуктов применяют различные лабораторные методы: определение кривой разгонки, температур вспышки, помутнения и застывания, оценку окисляемости в средах с различной агрессивностью и т.п.
В основе старения автомобильного моторного масла лежат процессы окисления, разложения и полимеризации углеводородов, которые сопровождаются процессами загрязнения масла различными примесями (нагаром, пылью, металлическими частичками, водой, топливом и пр.). Процессы старения существенно изменяют физико-химические свойства масла, приводят к появлению в нѐм разнообразных продуктов окисления и износа, ухудшают его эксплуатационные качества. Различают следующие виды окисления масла в двигателях: в толстом слое – в поддоне картера или в масляном баке; в тонком слое -на поверхностях горячих металлических деталей; в туманообразном (капельном) состоянии – в картере, клапанной коробке и т.п. При этом окисление масла в толстом слое даѐт осадки в виде шлама, а в тонком слое – в виде лака.
Окисление углеводородов подчиняется теории перекисей А.Н. Баха и К.О. Энглера, дополненной П.Н. Черножуковым и С.Э. Крейном. Окисление углеводородов, в частности, в моторных маслах ДВС, может идти по двум основным направлениям, представленным на рис. 2, результаты окисления по которым различны. При этом результатом окисления по первому направлению являются кислые продукты (кислоты, оксикислоты, эстолиды и асфальтогенные кислоты), образующие осадки при пониженных температурах; результатом окисления по второму направлению являются нейтральные продукты (карбены, карбоиды, асфальтены и смолы), из которых образуются в различных пропорциях при повышенных температурах или лаки, или нагары.
Рис. 2. Пути окисления углеводородов в нефтяном продукте (например, в моторном масле для ДВС)
В процессах старения масла весьма значительна роль воды, попадающей в масло при конденсации ее паров из картерных газов или другими путями. В результате этого образуются эмульсии, которые впоследствии усиливают окислительную полимеризацию молекул масла. Взаимодействие оксикислот и других продуктов окисления масла с водомасляными эмульсиями вызывает усиленное образование осадков (шламов) в двигателе.
В свою очередь, образовавшиеся частички шлама, если они не будут нейтрализованы присадкой, служат центрами катализации и ускоряют разложение еще не окислившейся части масла. Если при этом не произвести своевременную замену моторного масла, процесс окисления будет происходить по типу цепной реакции с увеличивающейся скоростью, со всеми вытекающими отсюда последствиями.
Решающее влияние на образование нагаров, лаков и осадков на поверхностях деталей ДВС, контактирующих с моторным маслом, оказывает их тепловое состояние. В свою очередь, конструкционные особенности двигателей, условия их эксплуатации, режимы работы и т.д. определяют тепловое состояние двигателей и влияют, таким образом, на процессы образования отложений.
Не менее важное влияние на образование отложений в ДВС оказывают и характеристики применяемого моторного масла. Для каждого конкретного двигателя важно соответствие рекомендованного заводом-изготовителем масла температуре поверхностей деталей, контактирующих с ним.
В данной работе произведен анализ взаимосвязи температур поверхностей поршней двигателей ЗМЗ-402.10 и ЗМЗ-5234.10 и процессов образования на них отложений нагаров и лаков, а также произведена оценка осадкообразования на поверхностях картера и клапанной крышки двигателей при использовании рекомендованного заводом изготовителем моторного масла М 63/12Г1.
Для исследования зависимостей количественных характеристик отложений в двигателях от их теплового состояния и условий работы можно использовать различные методики, например, Л-4 (Англия), 344-Т (США), ПЗВ (СССР) и др. [2, 3]. В частности, по методике 344-Т, являющейся нормативным документом США, состояние «чистого» неизношенного двигателя оценивается в 0 баллов; состояние предельно изношенного и загрязненного двигателя в 10 баллов. Аналогичной методикой оценки лакообразования на поверхностях поршней является отечественная методика ПЗВ (авторы – К.К. Папок, А.П. Зарубин, А.В. Виппер), цветовая шкала которой имеет баллы от 0 (отсутствие лаковых отложений) до 6 (максимальные отложения лака). Для пересчета баллов шкалы ПЗВ в баллы методики 344-Т показания первой необходимо увеличить в полтора раза. Указанная методика аналогична отечественной методике отрицательной оценки отложений ВНИИ НП (10 балльная шкала).
Для экспериментальных исследований использовались по 10 двигателей ЗМЗ-402.10 и ЗМЗ-5234.10 [2]. Эксперименты по исследованию процессов образования отложений проводились совместно с лабораториями испытаний легковых и грузовых автомобилей УКЭР ГАЗ на моторных стендах. В процессе испытаний, кроме прочего, контролировались расходы воздуха и топлива, давление и температура отработавших газов, температура масла и охлаждающей жидкости. При этом на стендах выдерживались режимы: частота вращения коленчатого вала, соответствующая максимальной мощности (100% нагрузки), и, поочередно, в течение 3,5 часов – 70% нагрузки, 50% нагрузки, 40% нагрузки, 25% нагрузки и без нагрузки (при закрытых дроссельных заслонках), т.е. эксперименты проведены по нагрузочным характеристикам двигателей. При этом температура охлаждающей жидкости выдерживалась в интервале 90…92С, температура масла в главной масляной магистрали – 90…95С. После этого двигатели разбирались и производились необходимые замеры.
Предварительно были проведены исследования по изменению физико-химических параметров моторных масел при испытаниях двигателей ЗМЗ-402.10 в составе автомобилей ГАЗ-3110 на автополигоне УКЭР ГАЗ. При этом выдержаны условия: средняя техническая скорость 30…32 км/ч, температура окружающего воздуха 18…26С, пробег до 5000 км. В результате испытаний получено – при увеличении пробегов автомобилей (времени работы двигателей) увеличивалось количество механических примесей и воды в моторных маслах, его коксовое число и зольность, происходили прочие изменения, что представлено в табл. 1
Нагарообразование на поверхностях днищ поршней двигателей ЗМЗ-5234.10 характеризовалось данными, представленными на рис. 3 (для двигателей ЗМЗ-402.10 результаты подобны). Из анализа рисунка следует, что при повышении температур днищ поршней от 100 до 300С толщина (зона существования) нагара уменьшалась с 0,45…0,50 до 0,10…0,15 мм, что объясняется выжиганием нагара при повышении температуры поверхностей двигателей. Твердость же нагара повышалась с 0,5 до 4,0…4,5 баллов по причине спекания нагара при высоких температурах.
Рис. 3. Зависимости нагарообразования на поверхностях днищ поршней двигателей ЗМЗ-5234.10 от их температур:
а – толщина нагара; б – твердость нагара;
Cимволами нанесены усредненные экспериментальные значения
Оценка величин отложений лаков на боковых поверхностях поршней и их внутренних (нерабочих) поверхностях производилась также по десятибалльной шкале, согласно методике 344-Т, используемой во всех ведущих научно-исследовательских учреждениях страны.
Данные по лакообразованию на поверхностях поршней двигателей представлены на рис. 4 (результаты по исследуемым маркам двигателей совпадают). Режимы испытаний указаны ранее и соответствуют режимам при исследованиях нагарообразования на деталях.
Из анализа рисунка следует, что лакообразование на поверхностях поршней двигателей однозначно увеличивается с увеличением температур их поверхностей. На интенсивность лакообразования влияет не только повышение температур поверхностей деталей, но и длительность ее действия, т.е. продолжительность работы двигателей [3]. При этом, однако, процессы лакообразования на рабочих (трущихся) поверхностях поршней существенно замедляются по сравнению с внутренними (нерабочими) поверхностями, вследствие стирания слоя лака в результате трения.
Рис. 4. Зависимости отложений лака на поверхностях поршней двигателей ЗМЗ-5234.10 от их температур:
а – внутренние поверхности; б – боковые поверхности; символами нанесены усредненные экспериментальные значения
Нагаро- и лакообразование на поверхностях деталей существенно интенсифицируется при применении масел групп «Б» и «В», что подтверждено рядом исследований, проведенных авторами на подобных и других типах автомобильных двигателей.
Планомерное увеличение отложений лаков на внутренних (нерабочих) поверхностях поршней вызывает уменьшение теплоотвода в картерное масло при увеличении наработки двигателей. Это вызывает, например, постепенное увеличение уровня теплового состояния двигателей по мере приближения наработки к смене масла при очередном ТО-2 автомобиля.
Образование осадков (шламов) из моторных масел происходит в наибольшей степени на поверхностях картера и клапанной крышки. Результаты исследований осадкообразования в двигателях ЗМЗ-5234.10 представлены на рис. 5 (для двигателей ЗМЗ-402.10 результаты подобны). Осадкообразование на поверхностях указанных ранее деталей оценивалось в зависимости от их температур, для измерения которых были смонтированы термопары (приварены конденсаторной сваркой): на поверхностях картера по 5 штук у каждого двигателя, на поверхностях клапанных крышек – по 3 штуки.
Как следует из рис. 5, при повышении температур поверхностей деталей двигателей осадкообразование на них уменьшается вследствие уменьшения содержания воды в картерном масле, что не противоречит результатам ранее проведенных экспериментов другими исследователями. Во всех двигателях осадкообразование на поверхностях деталей картера оказались больше, чем на поверхностях клапанных крышек.
На моторных маслах групп форсирования «Б» и «В» осадкообразование на деталях ДВС, контактирующих с моторным маслом, происходит интенсивнее, чем на маслах групп форсирования «Г», что подтверждено рядом исследований [1, 2, 3 и др.].
По сравнению с поверхностями поршней, отложения на зеркалах цилиндров следует считать незначительными. Далее, на рис. 6 приводятся данные по лакообразованию на зеркале цилиндра двигателей ЗМЗ-5234.10 при работе на маслах М-8В («автол») и М6з/12Г1, полученные также по методике 344-Т (для двигателей ЗМЗ-402.10 результаты подобны).
В данной работе исследования отложений на зеркалах цилиндров при эксплуатации двигателей на самых современных маслах не проводилось, однако, можно уверенно предположить, что для исследуемых двигателей они будут не больше, чем при их работе на менее качественных маслах.
Полученные результаты по взаимосвязи изменения температур основных деталей двигателей ЗМЗ-402.10 и ЗМЗ-5234.10 (поршней, цилиндров, клапанных крышек и масляных картеров) и количества отложений позволили выявить закономерности процессов образования нагаров, лаков и осадков на поверхностях указанных деталей. Для этого результаты аппроксимированы функциональными зависимостями методом наименьших квадратов и представлены на рис. 3-5. Полученные закономерности процессов образования отложений на поверхностях деталей автомобильных карбюраторных двигателей должны учитываться и использоваться конструкторами и инженерно-техническими работниками, занимающимися доводкой и эксплуатацией ДВС.
Двигатель автомобиля работает с наибольшей эффективностью лишь при определенных условиях. Оптимальный температурный режим теплонагруженных деталей является одним из таких условий и обеспечивает высокие технические характеристики двигателя с одновременным снижением износов, отложений и, следовательно, повышением показателей его надежности.
Оптимальное тепловое состояние ДВС характеризуется оптимальными температурами поверхностей их теплонагруженных деталей. Анализируя проведенные исследования процессов образования отложений на деталях исследуемых карбюраторных двигателей ЗМЗ и подобные исследования по бензиновым двигателям [1, 2, 3 и др.], можно с достаточной степенью точности определить интервалы оптимальных и опасных температур поверхностей деталей данного класса двигателей. Полученная информация представлена в табл. 2.
При температурах деталей двигателей в опасной высокотемпературной зоне существенно увеличивается твердость нагара на деталях КС цилиндра, что вызывает процессы калильного зажигания топливовоздушных смесей, количество лаковых отложений на поверхностях поршней и цилиндров, а значит, нарушается нормальный тепловой баланс. Рис. 7.
При температурах деталей двигателей в опасной низкотемпературной зоне увеличивается толщина нагара на поверхностях деталей, образующих КС, что приводит к возникновению детонационного сгорания топливовоздушных смесей, а также при низких температурах поверхностей деталей двигателей на них увеличивается количество осадков из моторных масел. Все это нарушает нормальную работу двигателей. В свою очередь отложения приводят к перераспределению тепловых потоков, проходящих через поршни, и повышению температур поршней в критических точках – в центре огневой поверхности днища поршня и в канавке ВКК. Температурное поле поршня двигателя ЗМЗ-5234.10 с учетом отложений нагаров и лаков на его поверхностях представлено на рис. 7.
Задача теплопроводности методом конечных элементов решалась с ГУ 1-рода, полученными при термометрировании поршня на режиме номинальной мощности при стендовых испытаниях двигателя. Термоэлектрические эксперименты проводились с тем же поршнем, для которого предварительно выполнены исследования температурного состояния без учета отложений. Эксперименты осуществлялись при идентичных условиях. Предварительно двигатель работал на стенде более 80 часов, после чего наступает стабилизация нагаров и лаков. В результате, температура в центре днища поршня повысилась на 24°С, в зоне канавки ВКК – на 26°С в сравнении с моделью поршня без учета отложений. Значение температуры поверхности поршня над ВКК 238°С входит в опасную высокотемпературную зону (табл. 2). Близко к опасной высокотемпературной зоне и значение температуры в центре днища поршня.
На этапе проектирования и доводки двигателей влияние отложений нагаров на тепловоспринимающих поверхностях поршней и лаков на их поверхностях, контактирующих с моторным маслом, учитывается крайне редко. Это обстоятельство в совокупности с эксплуатацией двигателей в составе АТС при повышенных тепловых нагрузках увеличивает вероятность отказов – прогары поршней, закоксовывание поршневых колец и т.д.
Н.А Кузьмин, В.В. Зеленцов, И.О. Донато
Нижегородский государственный технический университет им. Р.Е. Алексеева, Управление автомагистрали “Москва — Н.Новгород»