








Алгебра в восьмом классе стала намного труднее для тебя? Как в данной ситуации поступить ты не знаешь? Тогда мы подскажем тебе: скачай решебник по алгебре, 8 класс, автор Рязановский и постигай азы науки намного эффективнее чем было до этого, так как в ГДЗ весь материал изложен доступно и подробно расписано решение любого примера. Повышай свои знания вместе с ГДЗ!











Прошло уже не меньше тридцати лет с тех пор, как Алла Борисовна Пугачева в шутку пела о трудной судьбе школьника, у которого «первый класс вроде института». Те школьники уже выросли, у них появились дети, и теперь они, уже в качестве родителей, сами сталкиваются с возросшими учебными требованиями школьной программы. А увеличение количества учебников по каждому предмету только усложняет проблемы, которые необходимо решить в процессе обучения. Но наряду с этими трудностями появились и «помощники» - например, гдз по алгебре 8 класс (готовые домашние задания практически по всем предметам), которые несколько упростят жизнь в средних и старших классах.
У родителей элементарно не хватает времени, чтобы полностью разобраться со всеми школьными предметами. Порой приходится заново освоить тему, а для проверки - перерешать все задания. Ведь большинству родителей по роду своих занятий не требуется каждодневное использование формул и графиков, а в гдз по алгебре 8 класс даются не просто ответы, а подробный ход решения примеров и задач. Это позволит освежить знания и, как можно, быстрее и эффективнее проверить домашнее задание.
Да, родители не всегда могут помочь с выполнением домашней работы. Но и самим детям стоит проявить самостоятельность и сообразительность. Для разных людей потребуется разное время, чтобы разобраться в непростом мире графиков и формул. Математика не столько теория, сколько практика решения примеров, уравнений и задач. Проверить свои знания и устранить отдельные пробелы смогут помочь гдз по алгебре 8 класс, а также по другим предметам. Ведь чем больше решено, тем тверже усвоен урок.
Учебная нагрузка становится все более интенсивной. Времени на выполнение всего, что задают на дом, не хватает. Жизнь в постоянном цейтноте приводит к стрессу не только взрослого человека, но и школьника. Возможно, стоит использовать современные технологии (гдз по алгебре 8 класс) для решения каждодневных проблем.
Ничего не бывает зря. Если с первого взгляда может показаться, что это слишком легкий и пассивный способ обучения (гдз по алгебре 8 класс), то на деле и в этом случае знания будут усваиваться, а, значит, и цель будет достигнута. Скучно и сложно – это далеко не всегда правильный путь к новым познаниям.
При выборе решебника школьникам и родителям надо помнить о том, что учебники могут быть разных авторов, и гдз алгебра 8 класс макарычев подойдет только в том случае, если учебник, выданный в школе, этого же составителя. А тем временем, как алгебра алимов 8 класс гдз придется впору лишь к учебнику «Алгебра. 8 класс. Алимов Ш.А. и др.»
Одним из самых популярных учебников по алгебре для общеобразовательных школ считается пособие, составленное Мордкович А.Г. Учебник настолько логичен и последователен, что по нему возможно самостоятельное обучение, а алгебра 8 класс гдз мордкович поможет в овладении предметом. Но часть учителей склоняется к тому, что в седьмых – девятых классах лучше подходит учебник Макарычева Н.Г., и школьникам стоит тогда искать гдз алгебра 8 класс макарычев, которые будут благоприятствовать лучшему усвоению материала.
Никто не сомневается в пользе задачников. Ведь чем больше будет решено, тем тверже будут усвоены знания. «Готовые домашние задания» помогут разобраться с трудными примерами и задачами и подскажут направление, в котором надо думать и двигаться при решении того или иного задания. А это, в свою очередь, приведет к тому, что, разобравшись с ходом решения типовых задач и примеров, учащийся сможет приступить к самостоятельному выполнению заданий.
Применяя такие альтернативные способы выполнения домашнего задания, как гдз по алгебре 8 и другим предметам, ребенок получит навыки поиска и правильного использования информации. Больше времени останется на спорт, на музыку, на художественную литературу, на кружки, на общение с друзьями. Хочется надеяться, что все вместе это приведет к более полной жизни и гармоничному развитию школьника.
Любое стремление к пополнению знаний, к лучшим результатам и оценкам, к повышению личной эффективности должно вызывать понимание и положительную оценку у родителей и преподавателей.

Применение ГДЗ «Алгебра» «8 класс» помогает в решении важных задач образовательного процесса:
Этот курс продолжается, начиная с 7 класса и закончится только в 11. Многие школьники выбирают предмет для того, чтобы сдать ЕГЭ и в дальнейшем поступить на специальности, на которые требуется сертификат по этому курсу.
Ресурс GDZDO предлагает быстро найти ответы на задания, что даются бесплатно. Находить ответ можно с помощью гаджетов:
Практично, что не нужно скачивать документ, а с помощью встроенной системы поиска можно найти то, что надо. Грамотные и точные ответы «Алгебра» «8 класс» позволяют школьнику понять, как именно решается задача или пример, и далее легко воспроизводить алгоритм на уроке, выполняя контрольную или самостоятельную работу. Готовые домашние задания тренируют память и позволяют школьнику быстрее разобраться в сути темы, что особенно актуально, если он не понял нюанс объяснения на уроке или пропустил его в силу различных причин. Далее алгоритм легко воспроизводится, когда необходимо.
Использовать решебник «Алгебра» «8 класс» рекомендуется родителям, которые контролируют, насколько ребенок самостоятельными усилиями решил спектр домашней работы или же помогают в выполнении различных заданий. Поскольку этот курс считается одним из наиболее сложных в рамках школьной программы, многие папы и мамы могли испытывать сложности в обучении и никак не могут помочь ребенку. Плюс, стоит учитывать, что прошло много времени и информация забылась.
Для педагогов ответы «Алгебра» «8 класс», которые не надо скачивать, позволяют решить профессиональные задачи:
Используют ГДЗ «Алгебра» «8 класс» ученики школ, гимназий, лицеев и коллегиумов государственной, частной, коммунальной формы собственности, которые обучаются в рамках программы, рекомендованной Министерством образования РФ. При регулярном посещении сайта удается достичь таких результатов:
Уделять особое внимание дисциплине важно потому, что темы довольно сложные, а интенсивность обучения высокая. Использовав готовые домашние задания по предмету, удается затратить меньше времени на данный процесс, при этом без потери качества знаний и ухудшения оценок. Помогает школьнику в подготовке к профильному конкурсу, олимпиаде. Удобно, что есть тематический поиск, не требуется скачивание документа и пользоваться сервисом можно от случая к случаю или на постоянной основе. Идеальное решение для быстрого нахождения ответа по темам, собранным в тесты, вопросники, задачники, рабочую тетрадь, учебник.
ГДЗ по алгебре для 8 класса – многочисленные онлайн-сборники, которые включают в себя решенные задачки и примеры по предмету, составленные на основе основных российских учебников для средних школ. Они помогают восьмиклассникам научиться применять на практике правила, теоремы и формулы.
Авторы: Ю.Н. Макарычев, Н.Г. Миндюк, К.И. Нешков, С.Б. Суворова
Авторы: А.Г. Мордкович
В школьных учебниках, как правило, приведены теоремы и формулы, а также несколько простых образцов их применения на практике. Многим ребятам на базе этого материала сложно усвоить непростые темы по алгебре и успевать по предмету.
Стоит ли родителям сразу искать школьнику репетитора, если он испытывает трудности с выполнением домашней работы. Вопрос можно решить проще и эффективнее: воспользоваться ГДЗ по алгебре за 8 класс. Это практическое пособие позволяет разобраться в выполнении упражнений по широкому кругу тем:
На базе онлайн-сборников ученики могут проверять свою домашнюю работу, устранять пробелы в знаниях за предыдущие годы изучения математики, разбираться самостоятельно в сложных задачках, а также готовиться к итоговой аттестации.
Родители ребят, благодаря решебникам по алгебре для 8 класса, могут не только обойтись без репетиторов, но и самостоятельно контролировать успеваемость своих детей.
Чтобы найти ответ на задачку или пример в традиционном сборнике потребуется немало времени для пролистывания книги. В онлайн-решебнике все иначе: достаточно кликнуть номер задания в таблице и получить готовый ответ с подробным алгоритмом решения.
На сайте ГДЕ ГДЗ сосредоточены все самые свежие версии решебников, которые составлены на базе последних изданий учебников по алгебре с учетом текущих требований с учетом текущих стандартов оформления задач Министерства Образования России.
В чем преимущества сайта ГдеГдз. Ру?
Школьники и их родители могут использовать ГдеГдз.Ру в любое время суток, бесплатно и без регистрации. Переадресация на сторонние сайт при этом не происходит: все ответы и решения хранятся в базе нашего ресурса.
Автор: Мишустина, Е.Е. Тульчинская, М.: Мнемозина. Домашняя работа по алгебре за 8 класс.
Учебник: К учебнику «Алгебра 8 класс». Учебник для общеобразовательных учреждений.
Издательство: В 2-х частях. 17-е изд., доп. М.: Мнемозина, 2013.
Автор: Ю.Н. Макарычев.
Учебник: К учебнику «Алгебра 8 класс». ГДЗ решебник по алгебре.
Издательство: М.: Просвещение, 2003-2009.
Автор: Ш. А. Алимов.
Учебник: К учебнику «Алгебра 8 класс». Решебник ответы на вопросы.
Издательство: Просвещение 2011.
Учебник: К учебнику «Алгебра 8 класс». Решебник.
Издательство: Просвещение 2011.
Автор: Макарычев Ю.Н., Миндюк Н.Г., Нешков К.И..
Учебник: К учебнику «Алгебра 8 класс». ГДЗ.
Издательство: Просвещение 2009-2015.
При переходе в следующий класс каждый школьник замечает усложнение школьной программы. В нее постоянно добавляются новые гуманитарные, технические и естественно-научные дисциплины, каждая из которых по своему важна. Пользуйтесь решебниками гдз по алгебре 8 класс мордкович
Изучение алгебры начинается в 7 классе, а этот период школьники познают азы данного предмета, на основе которых формируется база знаний необходимых для более углубленного изучения данного предмета. В последующие годы постоянно применяется изученная на начальном этапе теория, именно поэтому важно с первых уроков вникнуть в предмет и не допускать пробелов в знаниях.
Роль решебников в подготовке домашних заданий
На уроке в классе при возникновении сложностей связанных с выполнением практических заданий каждый школьник может обратиться за разъяснением к преподавателю. При самостоятельном выполнении задач и упражнений, заданных на дом такая возможность отсутствует. Для того чтобы усвоить пройденный на уроке материал и максимально правильно выполнить домашнее задание можно воспользоваться ГДЗ по алгебре за 8 класс.
Сложившийся стереотип о негативном влиянии использования готовых ответов при подготовке к уроку, ошибочен. На самом деле пособия решебник по алгебре 8 класс мордкович позволяют не только проверить правильность выполненных самостоятельно упражнений, но и повторить ранее пройденный материал. Благодаря этому, используя решебник, каждый сможет восполнить имеющиеся пробелы в знаниях, особенно если по какой-либо причине был пропущен урок, на котором объяснялся теоретический материал. Уверенность в качестве подготовки к предстоящему уроку сохраняет интерес к дальнейшему изучению алгебры и стимулирует школьников на решение задач повышенной сложности.
Постоянное контролирование правильности выполнения домашних заданий предотвращает повторное допущение ошибок, что укрепляет знания и соответственно благотворно сказывается на успеваемости. Главное отказаться от бездумного списывания и правильно использовать решебник.
Такие наглядные пособия например алгебра 8 класс мордкович гдз могут использоваться не только учениками 8 класса, но и старшеклассниками в процесс подготовки к выпускным экзаменам. В решебниках собраны не только готовые ответы, но и подробные описания хода выполнения каждого упражнения из основного учебного пособия, проработав заново такой материал, можно в короткие сроки вспомнить ранее пройденные темы и пойти на экзамен максимально подготовленным.
Готовые домашние задания по алгебре для задачника 8 класса автора А. Г. Мордкович — лучшее пособие после учебника и задачника. Оно экономит время и нервы тысячам семей по всей стране.
Не каждый родитель разбирается в алгебре. Даже, если в школьные годы он был круглым отличником, в том возрасте, когда ребенок учится в 8 классе, вряд ли что- то вспомнится из школьной программы. Как проверить домашнюю работу? ГДЗ по алгебре 8 класс Мордкович раскроет все схемы и правильные способы решения номеров. Даже самые трудные задания покажутся пустяком.
Решебник по алгебре с ответами к задачнику Мордковича будут также полезны учителям, которые работают сразу с несколькими классами, но при этом проверяют домашнее задание каждый урок. Ответы сэкономят время, помогут правильно выбрать решение.
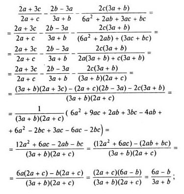
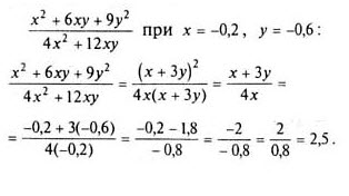
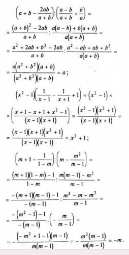
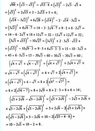
1.11.21.31.41.51.61.71.81.91.101.111.121.131.141.151.161.171.181.191.201.211.221.231.241.251.261.271.281.291.301.311.321.331.341.351.361.371.381.391.401.412.12.22.32.42.52.62.72.82.92.102.112.122.132.142.152.162.172.182.192.202.212.222.232.242.252.262.272.282.292. 302.312.322.332.342.352.362.372.382.392.402.412.422.432.442.452.463.13.23.33.43.53.63.73.83.93.103.113.123.133.143.153.163.173.183.193.203.213.223.233.243.253.263.273.283.294.14.24.34.44.54.64.74.84.94.104.114.124.134.144.154.164.174.184.194.204.214.224.234.244.254.264.274.284.294.304.314.324.334.344.354.364.374.384.394.404.414.424.434.444.454.464.474.484.494.504.514.524.534.544.554.565.15.25.35.45.55.65.75.85.95.105.115.125.135.145.155.165.175.185.195.205.215.225.235.245.255.265.275.285.295.305.315.325.335.345.355.365.375.385.395.405.415.425.435.445.455.466.16.26.36.46.56.66.76.86.96.106.116.126.136.146.156.166.176.186.196.206.216.226.236.247,97,107,117,127,137,147,157,167,177,187,197,207,217,227,277,287,297,307,317,327,337,347,357,367.17.27.37.47.57.67.77.87.377.387.397.408.18.28.38.48.58.68.78.88.98.108.118.128.138.148.168.178.188.198.208.218.228.238.248.258.268.278.288.298.308.318.329.19.29.39.49.59.69.79.89.99.109.119.129.139.149.159.169.179.189.199.209.219.229.239.249.259.269.279. 289.2910.110.210.310.410.510.610.710.810.910.1010.1110.1210.1310.1410.1510.1610.1710.1810.1910.2010.2110.2210.2310.2410.2510.2610.2710.2810.2910.3010.3110.3210.3310.3410.3510.3610.37
Алгебра — это предмет чисел, уравнений и формул, которые иногда настолько утомляют детей, что они не могут справиться со школьной скоростью. В результате алгебра доставляет студентам тяжелые времена.
TutorEye — это специализированная платформа для онлайн-обучения, доступная круглосуточно и без выходных, и предлагает своих опытных преподавателей по алгебре, которые помогут вам с алгеброй.Студентов обучают основам в простейшей форме, а затем им оказывается полная помощь в решении домашнего задания по алгебре. Мы предоставляем наших квалифицированных онлайн-преподавателей алгебры, которые помогут вам в нескольких темах, таких как
Наши предметные эксперты — это квалифицированные и опытные преподаватели, которые не делают упор только на преподавании предмета, но также заставляют вас узнать, каковы концепции и формулы, лежащие в основе ваших решенных ответов по алгебре. Мы предоставляем помощь в домашнем задании по алгебре двумя способами —
Получите онлайн-уроки от экспертов в данной области, которые помогут вам в выполнении домашнего задания по алгебре, разъясняя ваши концепции и предлагая индивидуальные решения. Вы можете запланировать занятие по своему усмотрению и задавать свои вопросы, загружая их, записывая или рисуя на доске.В онлайн-сеансе для получения помощи по алгебре вы получите —
Часто бывает, что вы понимаете основы, знаете формулу, но все равно сталкиваетесь с трудностями при решении уравнения. В этот момент помощь в письменном задании может быть очень полезной. Он предоставляет вам подробное пошаговое решение для вашего домашнего задания по алгебре. Таким образом вы узнаете, на каком этапе вы столкнулись с трудностью, а затем решите уравнение, следуя шагам, указанным в вашем задании. В письменном задании помощь получите —
Запросите сеанс в реальном времени по запросу или просто отправьте свой запрос.Загрузите свой вопрос, чтобы получить помощь по уравнениям или концепциям алгебры от академических экспертов. Начните учиться и ПОДНЯТЬСЯ.
1 РС.КЛАССА РЕНО! Предалгебра и алгебра
2 ДОБРО ПОЖАЛОВАТЬ СЕМЬИ! Аудитория 625 Предварительная алгебра Алгебра 8 класс
3 Рабочий телефон (480) 272-8668 [email protected] [email protected] Время работы офиса вторник и среда с 7:10 до 7:35
4 ЧТО ДОЛЖНЫ ИМЕТЬ ВАШИ СТУДЕНТЫ Pre-Algebra Algebra BigIdeasMath.comClassZone.com
5 ДОМАШНЕЕ ЗАДАНИЕ В классе В большинстве случаев учащимся будет предоставлено время для работы над домашним заданием. Они обязаны выполнить домашнее задание дома, если они не закончили в классе.
6 БОЛЬШОЙ РЕСУРС ДЛЯ РОДИТЕЛЕЙ И СТУДЕНТОВ Основные идеи до алгебры Математика Common Core «Домашнее издание с легким доступом» https: // www.bigideasmath.com/students/?level=9.00 Онлайн-издание Algebra Classzone http://www.classzone.com/cz/books/algebra_1_2007_na /book_home.htm?state=AZ
7 КНИГА ОЦЕНОК И БАЛЛЫ Домашнее задание: 3-5 баллов каждый день Пакеты отзывов: 5-10 баллов Контрольные вопросы: 15-50 баллов Тесты: 100 баллов encouraged По всем тестам приветствуются исправления. Студенты получат половину баллов за все исправленные ответы, представленные на следующий день.
8 ОТСУТСТВУЮЩИЕ ЗАДАНИЯ? ОТСУТСТВУЕТ? ПОЗДНЕЕ ДОМАШНЕЕ ЗАДАНИЕ? Учащимся дается один день на каждый день отсутствия на выполнение пропущенных заданий. Найдите пропущенное домашнее задание на веб-сайте Все поздние задания могут быть сданы до того, как будут собраны оценочные листы домашних заданий за половину кредита, только если у них есть лист оценки домашнего задания, соответствующий пропущенному заданию. Студентам выдается три пропуска для домашних заданий, которые они могут использовать в любой момент в течение года, чтобы получить полную оценку за любое пропущенное задание.
9 ДОПОЛНИТЕЛЬНЫЙ КРЕДИТ Студенты могут использовать свои неиспользованные пропуска для домашних заданий для получения дополнительного кредита в конце любого квартала, семестра или конца года. Каждый пропуск домашнего задания приносит 2 дополнительных балла. В течение года могут быть возможные дополнительные возможности получения кредита, где я объявлю классу дополнительные возможности получения кредита.
10 НАПОМИНАНИЕ 101 Класс алгебры: откройте новое текстовое сообщение на номер (623) 777-3862 и введите в поле сообщения @renaudalg Класс перед алгеброй: откройте новое текстовое сообщение на номер (623) 777-3862 и введите в поле сообщения @ Renaudpre
11 СПИСОК ПОЖЕЛАНИЙ cleaning Чистящие салфетки Clorox / Lysol «Air Wick» плюс в сменных картриджах Kleenex Карандаши и цветные ручки (красный, синий, зеленый, черный) Маркеры и ластики для белых досок!
Мы живем в активном, занятом, постоянно находящемся в движении, непрерывном мире, связанном с гиперсвязью.Студенты, возможно, сейчас заняты больше, чем когда-либо раньше.
Возьмем, к примеру, одного нашего ученика. Этот парень прошел один из наших курсов по обучению и был крупным школьным хоккеистом. У него был талант одного типа, возможно, даже профессиональный.
Этому ученику каждый день приходилось проделывать долгий путь для практики. В конце концов, мы находимся в Северной Каролине, поэтому не на каждом углу можно найти каток.Фактически, его хоккейный график означал, что ему приходилось выходить из дома каждое утро до семи утра, но он приходил домой только после восьми вечера.
Если вы живете такой жизнью, как вы на самом деле поддерживаете свои оценки?
Если вы знаете ученика, у которого такой ограничивающий график, попробуйте один из следующих советов, чтобы по-прежнему вести активный образ жизни и поддерживать высокие оценки.
Это концепция, которую мы учим парням использовать в нашем курсе учебных навыков для парней «Руководство по навыкам учебы для парней».Это имеет прямое значение для каждого студента.
В прошлые годы ученики могли ожидать, что бросят школу, отправятся домой, а затем будут проводить вместе большие промежутки времени, что позволит им выполнить все домашние задания за один раз. Таких дней становится все меньше и меньше.
Сегодняшние ученики часто не оказываются в ситуациях, которые позволяют им проводить вместе 2 часа времени. Вместо этого проявите творческий подход и используйте временные блоки с возможностью «переброса». Вы едете на автобусе? Тебе придется ждать, пока мама или папа приготовят ужин? Вы едете в машине 15 минут? Все эти «одноразовые» временные блоки могут существенно повлиять на выполнение домашней работы.
Некоторые люди не в восторге от этой концепции. Организация — это проклятие существования многих студентов.
Но часто бывает разница между учениками, которые используют сокращенные блоки домашнего задания или пропускают эти блоки. Если вы не организованы, вы не сможете быстро начинать и останавливать домашнее задание.
Однако ключ к сохранению суперорганизованности в этом смысле заключается в том, что вам нужно, чтобы каждое домашнее задание, которое еще не было выполнено, в одном месте.Это может быть папка, или папка, или карман в папке. Но храните все это в одном месте и всегда держите эту папку при себе.
Технологии и другие отвлекающие факторы (но в основном это технологии) обычно являются самым большим фактором, мешающим учащимся выполнить домашнее задание вовремя. Закончите домашнее задание. Тогда наслаждайтесь технологией.
Мы любим технологии. Нам просто не нравится, когда вы пытаетесь закончить домашнее задание.Мы видели, как технологии буквально удваивают, утраивают, в четыре раза — или, что еще хуже, — ваше домашнее задание. Когда пришло время уроки, выключи его. Если хотите, можете делать перерывы каждый час и проверять свои социальные сети. Но дайте ему немного отдохнуть. Доверьтесь нам — это простой способ максимально эффективно использовать свое время.
У вас есть другие предложения? Мы будем рады услышать, что вы пишете в социальных сетях.
Почему учебник? Потому что студентам полезно научиться пользоваться обычными учебниками. Это помогает подготовить их к дальнейшему обучению (будь то колледж или профессионально-техническое образование), когда им нужно учиться самостоятельно, читая учебник.
Также в хорошие учебники включены не только базовые упражнения, но и сложные.Если вы решите воспользоваться какой-нибудь онлайн-программой или видео-инструкцией, обычный учебник может выступить в качестве справочника и дополнительного «банка» для решения этих сложных задач. Вы также можете использовать его, чтобы убедиться, что ваш ученик действительно получает все инструкции, которые присутствуют в типичном курсе математики в средней школе.
Почему видео? Потому что они заменяют компонент, который присутствует в обычном классе: учитель объясняет концепции и идеи. Некоторым ученикам может быть слишком сложно изучать алгебру или геометрию только по учебнику.Если родитель не может объяснить математику, видео помогут преодолеть разрыв. В современном мире существует МНОГО бесплатных веб-сайтов с математическими видеороликами, которые можно использовать. А некоторые компании предоставляют видеоролики, адаптированные к конкретному учебнику.
(Обратите внимание: пользователи Math Mammoth могут начинать математику в старших классах школы сразу после окончания 7-го класса Math Mammoth, поскольку MM7 — это предварительная алгебраическая программа. Для 8-го класса нет необходимости использовать отдельную математическую программу)
Я написал исчерпывающую статью, объясняющую основные варианты курса алгебры 1 в условиях домашнего обучения, а также подробные описания некоторых учебников.В статье также перечислены бесплатные видео-сайты по алгебре, онлайн-учебные программы и дана ссылка на список сайтов с учебными пособиями по алгебре.
Рекомендации по алгебре 1 учебный план
Я не видел очень много курсов геометрии, но лично просмотрел два школьных учебника геометрии, которые могу порекомендовать:
Геометрия: управляемое исследование
Гарольд Джейкобс Геометрия
Я также слышал (и, судя по образцам, так кажется), что Teaching Textbooks Geometry — достойная учебная программа.Наверное, это проще, чем два упомянутых выше учебника. Однако имейте в виду, что в целом их учебная программа на уровне класса очень проста, на 1-2 ступени ниже математики Mammoth, и не содержит хороших словесных задач, которые позволили бы учащимся научиться решать проблемы.
Вот некоторые компании, которые предоставляют видео и другую помощь, соответствующую обычным учебникам для старших классов:
Независимо от того, какой учебный план вы используете, вы можете использовать бесплатные обучающие видео от разных людей.Эти веб-сайты предлагают бесплатные онлайн-видео для школьных курсов математики.
cK-12
CK-12 — это большой бесплатный сайт для изучения и практики математики и естественных наук. Он содержит текстовые уроки, FlexBooks® (цифровые учебники в форматах PDF, ePub и mobi), видео и тесты по множеству тем по математике и естествознанию от K до 12 классов.
Khan Academy
Возможно, самый большой и бесплатный сайт в Интернете для математических видеороликов. То, что началось с того, что Сэл снял несколько видеороликов по алгебре для своих кузенов, выросло до более 2100 видеороликов и 100 упражнений и оценок для самостоятельного обучения, охватывающих все, от арифметики до физики, финансов и истории.
LearnZillion
Бесплатные видео по математике по всем темам в K-8. Видео организованы в соответствии с Общими основными стандартами (CCS), но их можно использовать, даже если вы не следуете CCS — просто следуйте названиям уроков по темам.
MathTV.com
Более 6000 бесплатных онлайн-видеоуроков по основам математики, алгебры, тригонометрии и исчисления. Видео также доступны на испанском языке. Также включает онлайн-учебники. Я написал обзор MathTV.
HippoCampus
Интерактивные онлайн-уроки (бесплатные), охватывающие школьные курсы алгебры и исчисления (включая AP-исчисление).
BrightStorm Math
Более 2000 бесплатных видеороликов, охватывающих все математические темы средней школы, от алгебры до математики. Требуется регистрация (бесплатно).
MathVids.com
Бесплатные видеоролики по математике, сгруппированные по математическим темам. Базовая математика, средняя школа, средняя школа и уровни колледжа. Также включает ссылки на другие ресурсы.
Алгебра в пределах досягаемости
Бесплатные видеоролики по алгебре, представленные Даной Мозли, разработанные решения для выбранных упражнений и другие вспомогательные материалы для учебников по алгебре Рона Ларсона.
Virtual Nerd
Видеоуроки по предалгебре, алгебре 1, алгебре 2 и вводной физике. Это также будет включать в себя практические задания и викторины в течение 2010-2011 учебного года. Включает в себя как бесплатную, так и платную (премиум) версии.
Math Ops
Бесплатный онлайн-курс предварительной алгебры и алгебры, который включает пошаговые инструкции, видео и онлайн-викторины.
HSTutorials.net
Бесплатные анимированные и озвученные математические уроки — предварительная алгебра, алгебра 1, геометрия.
LearnersTV.com
Бесплатные видеолекции, аудиолекции, заметки, электронные книги и т. Д. По математике в средней школе и колледже. Также есть материал для других наук.
Sophia
Большая онлайн-библиотека коротких видеоуроков и викторин, охватывающих курсы от предварительной алгебры до математики. Видео записываются несколькими разными преподавателями, которые различаются по своим методам и стилям преподавания, поэтому у вас есть возможность усвоить один и тот же урок с разных точек зрения.
Holt Online Learning
Этот сайт содержит онлайн-видеоуроки и другие вспомогательные материалы, которые прилагаются к учебникам по математике для старших классов Holt. Щелкните курс, затем выберите справку по домашнему заданию, выберите главу и просмотрите уроки.
Jooble
Это не веб-сайт с учебными программами или видео, но Jooble позволяет вам искать работу (в США), независимо от того, учитесь вы в средней школе или за ее пределами.